lunes, 26 de octubre de 2020

Preguntas Y Respuestas De Crónica De Una Muerte Anunciada

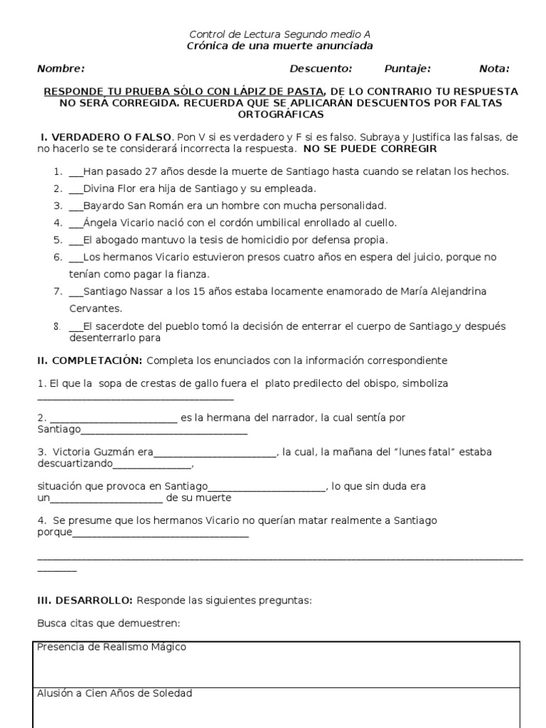
Preguntas Y Respuestas De Crónica De Una Muerte Anunciada. Qu so santiago nsar la noche antes de su muerte? Por el colombiano gabriel garcía márquez.

Lookaside Fbsbx Com Lookaside Crawler Media Me
Lookaside Fbsbx Com Lookaside Crawler Media Me from lookaside.fbsbx.com
6 meses antes 5 meses antes 4 meses antes día de la boda día de la muerte después de la muerte cronología de crónica de una muerte anunciada bayardo san roman compró una vestido de luto y preguntó de ella a la propietaria. No borres ni corrijas, pues al hacerlo anularás tu respuesta. Me pueden dar 10 o mas preguntas acerca del texto crónica de una muerte anunciada por favor es para una tarea!

Qu so santiago nsar la noche antes de su muerte?

Crónica de una muerte anunciada. No borres ni corrijas, pues al hacerlo anularás tu respuesta. Se dice que nunca hubo una muerte más anunciada porque los hermanos vicario fueron diciendo a todo el mundo que iban a matar a. Desde que se levanta hasta que.


No hay comentarios.:

Publicar un comentario

Iklan Atas Artikel

Iklan Tengah Artikel 1

Iklan Tengah Artikel 2

Iklan Bawah Artikel