martes, 7 de julio de 2020

Preguntas De Prueba Del Libro El Jardin Secreto

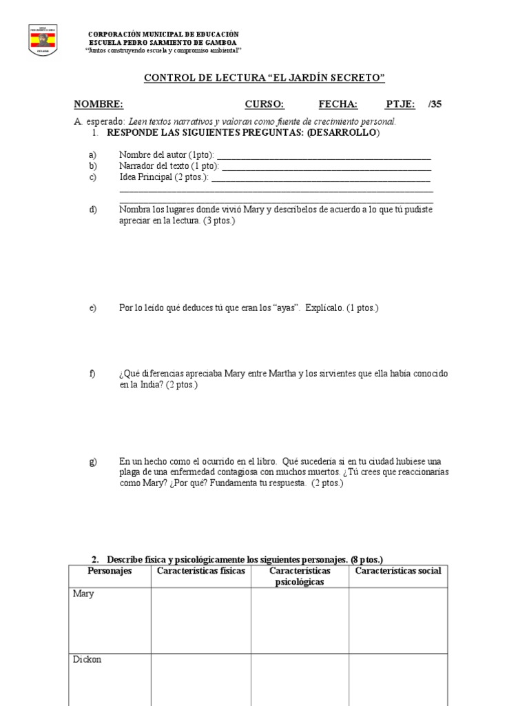
Preguntas De Prueba Del Libro El Jardin Secreto. El jardín secreto tráiler oficial, película en cines próximamente. Colores y encontrar lo oculto en las páginas de este libro se encuentra un maravilloso mundo de fantásticas flores, plantas y animales pequeños tesoros curiosos.

Guia De Prueba El Jardin Secreto
Guia De Prueba El Jardin Secreto from imgv2-1-f.scribdassets.com
El jardín secreto de kmx. Prueba de lenguaje y comunicación nombre responda las preguntas, en función del libro.(3 puntos c/u =1 8 puntos en total) 1) ¿qué fue lo que más te gustó del libro y por share & embed evaluación el jardin secreto. ¡sin anuncios molestos, sin límites de descarga, disfrútalo y no te olvides de marcar y compartir el amor!

Buscando abejas, mariposas y flores ocultas entre plantas y aves.

¡sin anuncios molestos, sin límites de descarga, disfrútalo y no te olvides de marcar y compartir el amor! El jardín secreto tráiler oficial, película en cines próximamente. Please copy and paste this embed script to where you want to embed. Chesterton el padre brown detectives famosos voz:


No hay comentarios.:

Publicar un comentario

Iklan Atas Artikel

Iklan Tengah Artikel 1

Iklan Tengah Artikel 2

Iklan Bawah Artikel